CIO at Crossroads — Spending or Steering?

For years, CIOs have been told to “do more with less.” Now, as global IT spending races past $6.1 trillion by 2026 (Gartner), that message has evolved: Do better with more.
The question isn’t whether IT has budget. It’s whether IT has control.
The Modern CIO’s Dilemma
CIOs today sit at a crossroads between Spending and Steering. On one side lies Spending Mode — fragmented systems, siloed data, and reactive financial management. IT costs are tracked but rarely understood. Labor data lives in one place, cloud invoices in another, vendor contracts in a shared drive, and Finance is left reconciling numbers that never quite match.
The result: CIOs lose not just budget accuracy, but credibility with Finance.
The Shift: From Visibility to Control
Gartner’s advice is simple but profound: “Less is more—identify your strongest argument.” For IT leaders, that argument is visibility. Because visibility is what enables control, and control is what earns trust.
Leading CIOs are redefining their role — not as budget defenders, but as strategic stewards of spend and outcomes. They’re moving from cost centers to value architects by adopting an IT Financial Management (ITFM) mindset — one that combines technology, finance, and governance into a unified operating model.
The New CIO Playbook
Here’s what separates the Steering CIOs from the Spending ones:
- Unify Data Across Labor, Cloud, Vendors, and Contracts: Break silos. Integrate systems to build a single source of truth.
- Make “Budget vs Actual” a Weekly Rhythm, Not a Quarterly Reconciliation: Treat financials like uptime — something you monitor constantly, not occasionally.
- Track Forecast Accuracy (MAPE ≤ 3%): Forecast precision should be a KPI, not an afterthought. The best-run IT organizations treat variance like an SLA.
- Reinvest the Savings in Innovation: With 2–3% of run-rate spend reclaimed through better control, CIOs can reinvest directly in modernization, automation, and AI initiatives.
The Outcome: From Cost to Credibility
CIOs who make this shift aren’t just cutting costs — they’re buying influence. With credible, near-real-time visibility into spend, they gain the right to steer the conversation with Finance, not react to it.
Because in today’s digital economy, the most powerful CIOs don’t just manage IT budgets — they steer the business.
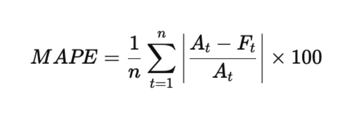
Notes: MAPE (Mean Absolute Percentage Error) is a common metric used to measure forecast accuracy.
Here’s how it works
- [Equation] At = actual value at time t
- [Equation] Ft = forecast value at time t
- [Equation] n = number of periods
📊 Interpretation
It tells you, on average, how far off your forecast is as a percentage of the actual value. For example, a MAPE of 3% means your forecasts are, on average, 3% away from reality — i.e., highly accurate.
⚙️ In an ITFM or Business Context
- You might use MAPE to track budget forecast accuracy for IT spend, project costs, or cloud usage.
- Many mature IT organizations aim for ≤3–5% MAPE on their “Budget vs Actual” reporting — just like maintaining uptime SLAs.
About Altios
At Altios, we help CIOs move from Spending to Steering through unified IT Financial Management analytics that integrate labor, cloud, and vendor data into one clear view of spend and performance.
Altios — Turning IT Spend into Strategic Insight.